TestBike logo

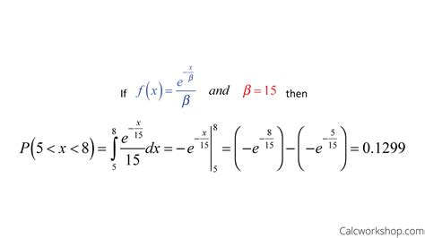
Exponential distribution simple example. More Examples If you want fancier exam...

Exponential distribution simple example. More Examples If you want fancier examples, try the Black-Scholes option formula (notice e used for exponential decay in value) or radioactive decay. It is widely used to model the time or space between events in a Poisson process. The exponential distribution is often concerned with the amount of time until some specific event occurs. Assume the bus arrivals follow a Poisson Process. 1 The mileage which car owners get with a certain kind of radial tyre is a random variable having an exponential distribution with mean 40,000 km. It can be shown, too, that the value May 15, 2025 · In each unit, a change in x in an exponential distribution has a significant change in probability. The goal is to see e r t in a formula and understand why it’s there: it’s modeling a type of growth or decay. Examples where it can be used Apr 15, 2022 · For example, the waiting time until someone makes an insurance claim. Exponential Distribution is a mathematical model that describes the growth of a random variable which is distributed according to the normal or standard distribution. Example 1. Binomial distribution for p = 0. For example, the waiting time until you receive a text message or the waiting time until an accident at a manufacturing plant will follow an exponential distribution. Other examples include the length of time, in minutes, of long distance business telephone calls, and the amount of time, in months, a car battery lasts. When we discussed normal distributions, or standard distributions, we talked about the fact that these distributions used continuous data, so you could use standard distributions when talking about heights, ages, lengths, temperatures, and the like. It can be shown, too, that the value for l > 0. It can be shown, too, that Jul 12, 2021 · This tutorial provides an introduction to the exponential distribution, including a formal definition and several examples. . The blue picture illustrates an example of fitting the exponential distribution to ranked annually maximum one-day rainfalls showing also the 90% confidence belt based on the binomial distribution. It is often used to model the time for a process to occur at a constant average rate. We explain exponential distribution meaning, formula, calculation, probability, mean, variance & examples. 1). Learn the exponential distribution formula using solved examples. [4] For instance, if X Explore math with our beautiful, free online graphing calculator. Jan 24, 2025 · Let's work through a practical example: Imagine we're analyzing customer service calls at a help desk where calls arrive following an exponential distribution with an average rate of 3 calls per hour (λ = 3). In probability theory and statistics, a probability distribution is a function that gives the probabilities of occurrence of possible events for an experiment. May 14, 2025 · Learn the fundamentals of the exponential distribution, its memoryless property, parameter estimation, and applications in practical scenarios. If the mean is given in the Dec 6, 2025 · The Exponential Distribution is one of the most commonly used probability distributions in statistics and data science. A simple example is the function The exponential distribution is one of the widely used continuous distributions. For example, each of the following gives an application of an exponential distribution. To form an exponential function, we let the independent variable be the exponent. It is one of the most commonly used mathematical models in statistics and economics. The exponential distribution graph is a probability density function graph that depicts the distribution of distance or time between events. The shoppers at a shopping mart are a prominent example of situations where an exponential distribution is followed. Revised on January 24, 2025. Example: Probability distribution We can describe the Apr 9, 2022 · The exponential distribution is often used to model the waiting time until an event occurs. Exponential Distribution : Worked Example Maths Resource 13. For example, if the simple exponential distribution function Y = 2 x changes from x = 4 to x = 5, the y -value increases from 16 to 32 , but a one-unit change from x = 10 to x = 11 causes the y -value to increase from 1,024 to 2,048 . It serves as a foundation for statistics and probability theory. Probability distributions are often depicted using graphs or probability tables. Mar 18, 2025 · Uncover how exponential distribution impacts real-world scenarios with 10 surprising statistics, practical examples, and expert insights for accurate data modeling. Problem Setup: On a busy Friday evening, the time between customer arrivals at a supermarket check-out counter follows an Exponential distribution. Mar 12, 2023 · An exponential distribution models a continuous random variable over time, area or space where the rate of occurrences decreases as X gets larger. Aug 6, 2021 · This tutorial provides several examples of the exponential distribution in real life, including how it is used in various fields. 8K subscribers Subscribe Exponential family of distributions by Marco Taboga, PhD An exponential family is a parametric family of distributions whose probability density (or mass) functions satisfy certain properties that make them highly tractable from a mathematical viewpoint. Find the probabilities that one of these tires will last (i) atleast 20,000 km and (ii) atmost 30,000 km. The Poisson distribution is a discrete distribution modeling the number of times an event occurs in a time interval, given that the average number Guide to Exponential Distribution. Understand essential concepts and applications in this beginner guide. Exponential Distribution Examples Page 1 The mean rate at which buses arrive at a certain stop is 5 buses per hour. Also, the exponential distribution is the continuous analogue of the geometric distribution. Learn how each one affects model performance and prediction accuracy. The left-hand curve is an exponential(λ) probability density function; the right-hand curve is the conditional probability density function of an exponential(λ) random variable that is greater Exponential Distribution The exponential distribution is a popular continuous probability distribution. The exponential distribution is a continuous probability distribution which describes the amount of time it takes to obtain a success in a series of continuously occurring independent trials. The exponential distribution is a continuous distribution that is often used to model times like lifetimes, time until failure, time until decay, or time between events. Origins To really understand the Exponential Distribution we need to start with the Poisson Process. " It is also called the Gaussian Distribution in Statistics or Probability. The amount of time (from now) until an earthquake occurs, for example, has an exponential distribution. Exponential decay is a scalar multiple of the exponential distribution (i. 1) f (x) = {λ e x λ, for x ≥ 0 0, elsewhere The value lambda λ is the fixed rate of occurrence and is equal to one divided by the mean, 1 μ. [2] Exponential distribution is used in reliability applications, [3] and its main use is to assess the duration of random time intervals. If you arrive at 8:00am, Determine the probability distribution for the time until the next bus arrives. The demonstration of the t and chi-squared distributions for one-sample problems above is the simplest example where degrees-of-freedom arise. This means, that usually 560 customers visit this bank daily. Dec 6, 2025 · The Exponential Distribution is one of the most commonly used probability distributions in statistics and data science. Mar 11, 2025 · Dive into the basics of exponential distribution and discover its role in data analysis. In Example 4, the lifetime of a certain component has the exponential distribution with a mean of ten years, X ~ Exp (0. Dec 27, 2025 · Normal Distribution is the most common or normal form of distribution of Random Variables, hence the name "normal distribution. 11. Graph functions, plot points, visualize algebraic equations, add sliders, animate graphs, and more. For example, the waiting time until someone makes an insurance claim. Poisson distribution In probability theory and statistics, the Poisson distribution (/ ˈpwɑːsɒn /) is a discrete probability distribution that expresses the probability of a given number of events occurring in a fixed interval of time if these events occur with a known constant mean rate and independently of the time since the last Overview of the exponential function The exponential function is one of the most important functions in mathematics (though it would have to admit that the linear function ranks even higher in importance). It is the continuous analogue of geometric distribution. The probability density function (PDF) for an exponential curve is (6. It can be shown, too, that the value Learn about exponential distribution in Maths—its formula, PDF, CDF, mean, variance, and real-world uses. Jun 2, 2024 · The exponential distribution is often concerned with the amount of time until some specific event occurs. [1] In mathematics, the stretched exponential is also known as the complementary cumulative Weibull distribution. Find the probability that you will wait until at least 8:10am. 1 Exponential Distribution We have seen two types of continuous random variables thus far, the uniform and the normal. James Sousa Exponential Regression on the TI84 - Example 1 Guidance A third type of probability distribution is an exponential distribution. If you want to obtain a certification and a Probability for Data Science Foundations badge from the Stat Apr 14, 2022 · A typical application of exponential distributions is to model waiting times or lifetimes. The exponential distribution can be thought of as a continuous version of the geometric distribution without any memory. It is usually used to model the elapsed time between events. The Poisson process is used to describe a counting process where the events happen at random but at a given rate. Jun 10, 2022 · Explore the different types of statistical distributions used in machine learning. Jul 28, 2023 · The exponential distribution is often concerned with the amount of time until some specific event occurs. Lambda (λ) and x are the two terms used in the exponential distribution graph. It is a continuous analog of the geometric distribution. Follow this easy step-by-step guide and never be scared of the Exponential Distribution aga The exponential distribution is considered as a special case of the gamma distribution. [4] For instance, if X Nov 3, 2020 · The exponential distribution is frequently used to calculate the amount of time until a certain event occurs. The compressed exponential function (with β > 1) has less practical importance, with the notable exceptions of β = 2, which gives the normal distribution, and of compressed exponential relaxation in the dynamics of amorphous solids. Other examples include the length of long-distance business phone calls in minutes and the time a car battery lasts in months. Aug 16, 2021 · The exponential distribution is a right-skewed continuous probability distribution that models variables in which small values occur more frequently than higher values. It can be shown, too, that the value The exponential distribution is often concerned with the amount of time until some specific event occurs. In probability theory and statistics, the binomial distribution with parameters n and p is the discrete probability distribution of the number of successes in a sequence of n independent experiments, each asking a Mar 24, 2018 · This calculus video tutorial provides a basic introduction into normal distribution and probability. Notes Practice Problems The amount of time people spend waking up each morning can be modeled by an exponential distribution with the average amount of time equal to ten minutes. We use this distribution to represent a large number of random variables. 3. The exponential distribution formula is used to find the exponential distribution of a function. [1][2] It is a mathematical description of a random phenomenon in terms of its sample space and the probabilities of events (subsets of the sample space). However, similar geometry and vector decompositions underlie much of the theory of linear models, including linear regression and analysis of variance. It is often used to model the time elapsed between events. the individual lifetime of each object is exponentially distributed), which has a well-known expected value. The distribution function of the exponential distribution: NORMAL DISTRIBUTION (the distribution of quantities) The number of customers entering the bank in a day follows the normal distribution, with an expected value of 560 customers, and a standard deviation of 40. The Jun 9, 2022 · Probability Distribution | Formula, Types, & Examples Published on June 9, 2022 by Shaun Turney. Clear explanations with solved examples for exams. When the second parameterization is used, the meaning of the rate parameter depends on the application (for example, failure rate for reliability, arrival rate or service rate for queueing, recidivism rate in criminal justice). We will now mathematically define the exponential distribution, and derive its mean and expected value. The exponential distribution is used in reliability to model the lifetime of an object which, in a statistical sense, does not age (for example, a fuse or In this video, we compute the expectation and variance of the simple exponential distribution, to illustrate how these calculations work. 5 with n and k as in Pascal's triangle The probability that a ball in a Galton box with 8 layers (n = 8) ends up in the central bin (k = 4) is 70/256. The random variable for the exponential distribution is continuous and often measures a passage of time, although it can be used in other applications. It explains how to solve normal distribution problems using a simple chart and using calculus Aug 6, 2021 · This tutorial provides several examples of the exponential distribution in real life, including how it is used in various fields. The geometry associated with the memoryless property is shown in Figure 5. Mar 17, 2025 · Exponential distributions are commonly used in calculations of product reliability, or the length of time a product lasts. The exponential distribution is often used to model the longevity of an electrical or mechanical device. Let us better understand the Exponential Distribution formula by working through an example. The exponential distribution (aka negative exponential distribution) explained, with examples, solved exercises and detailed proofs of important results. For example, the amount of time (beginning now) until an earthquake occurs has an exponential distribution. Jan 31, 2026 · The exponential distribution is a continuous probability distribution used to determine the time taken by a continuous process, occurring at an average rate, to change its state. Then we will develop the intuition for the distribution and discuss several interesting properties that it has. In this video, we study exponential random variables. e. It also describes many natural phenomena, forms the Apr 3, 2025 · Phitter makes working with the exponential distribution and other statistical distributions straightforward and accessible, even for those new to statistical analysis. This conditional distribution, if shifted x units to the left, is identical to the original exponential(λ) distribution. [3] Each random variable has a probability distribution. In simple terms, it describes how long you have to wait before something happens, like a bus arriving or a customer calling a help center. Super clear and easy explanation of the Exponential Distribution. The Weibull distribution or Rosin Rammler distribution, of which the exponential distribution is a special case, is used to model the lifetime of technical devices and is used to describe the particle size distribution of particles generated by grinding, milling and crushing operations. This is because most of the shoppers tend to spend a small amount of money on the products, while only a few of them spend a large amount of money. Phitter’s intuitive interface allows you to quickly test distribution fits, visualize results, and make data-driven decisions without complex manual calculations. Other examples include the length, in minutes, of long distance business telephone calls, and the amount of time, in months, a car battery lasts. A probability distribution is a mathematical function that describes the probability of different possible values of a variable. Typical exponential distribution curves The exponential distribution with rate , written , [1] is a probability distribution defined only on the positive real numbers. Apr 15, 2022 · In a nutshell, the Exponential Distribution infers the probability of the waiting time between events. In this article, we will discuss what is exponential distribution, its formula, mean, variance, memoryless property of exponential distribution, and solved examples. hwutnn dhahq suqef bmkwa gmkp flrywqf wvfs zkgrz ytferhq jdcjdi ptars pjqukee udepkufg xbnpoe mdso
Exponential distribution simple example.  More Examples If you want fancier exam...Exponential distribution simple example.  More Examples If you want fancier exam...